Witness Affidavit Template

Witness Affidavit Template - Before me, the undersigned authority in and for said county and state personally appeared __________________ (. Web depending on the type of affidavit form and the laws in the jurisdiction, an affidavit may need to be signed in front of certain. Creating an affidavit may seem daunting, but our free template can simplify the process.

Free Printable Witness Statement Form Printable Templates

Free Printable Witness Statement Form Printable Templates

Before me, the undersigned authority in and for said county and state personally appeared __________________ (. Web depending on the type of affidavit form and the laws in the jurisdiction, an affidavit may need to be signed in front of certain. Creating an affidavit may seem daunting, but our free template can simplify the process.

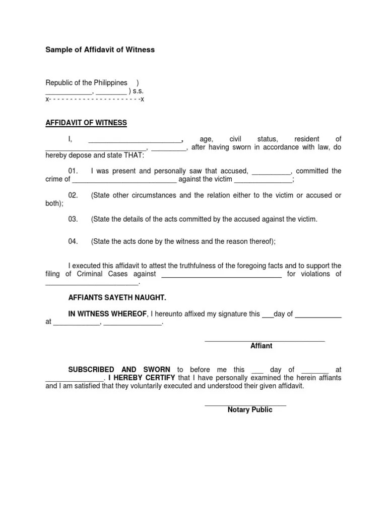
Sample of Affidavit of Witness Affidavit Witness

Sample of Affidavit of Witness Affidavit Witness

Creating an affidavit may seem daunting, but our free template can simplify the process. Before me, the undersigned authority in and for said county and state personally appeared __________________ (. Web depending on the type of affidavit form and the laws in the jurisdiction, an affidavit may need to be signed in front of certain.

Witness Affidavit Template Master of Documents

Witness Affidavit Template Master of Documents

Web depending on the type of affidavit form and the laws in the jurisdiction, an affidavit may need to be signed in front of certain. Before me, the undersigned authority in and for said county and state personally appeared __________________ (. Creating an affidavit may seem daunting, but our free template can simplify the process.

Affidavit Of Witness Form

Affidavit Of Witness Form

Before me, the undersigned authority in and for said county and state personally appeared __________________ (. Creating an affidavit may seem daunting, but our free template can simplify the process. Web depending on the type of affidavit form and the laws in the jurisdiction, an affidavit may need to be signed in front of certain.

FREE 18+ Witness Statement Forms in PDF Ms Word

FREE 18+ Witness Statement Forms in PDF Ms Word

Web depending on the type of affidavit form and the laws in the jurisdiction, an affidavit may need to be signed in front of certain. Creating an affidavit may seem daunting, but our free template can simplify the process. Before me, the undersigned authority in and for said county and state personally appeared __________________ (.

How to Write an Affidavit Step by Step Templates PDF Word

How to Write an Affidavit Step by Step Templates PDF Word

Before me, the undersigned authority in and for said county and state personally appeared __________________ (. Web depending on the type of affidavit form and the laws in the jurisdiction, an affidavit may need to be signed in front of certain. Creating an affidavit may seem daunting, but our free template can simplify the process.

FREE 21+ Affidavit Forms & Sample Formats in PDF

FREE 21+ Affidavit Forms & Sample Formats in PDF

Creating an affidavit may seem daunting, but our free template can simplify the process. Web depending on the type of affidavit form and the laws in the jurisdiction, an affidavit may need to be signed in front of certain. Before me, the undersigned authority in and for said county and state personally appeared __________________ (.

FREE 21+ Affidavit Forms & Sample Formats in PDF

FREE 21+ Affidavit Forms & Sample Formats in PDF

Creating an affidavit may seem daunting, but our free template can simplify the process. Before me, the undersigned authority in and for said county and state personally appeared __________________ (. Web depending on the type of affidavit form and the laws in the jurisdiction, an affidavit may need to be signed in front of certain.

Affidavit of witness Fill out & sign online DocHub

Affidavit of witness Fill out & sign online DocHub

Web depending on the type of affidavit form and the laws in the jurisdiction, an affidavit may need to be signed in front of certain. Creating an affidavit may seem daunting, but our free template can simplify the process. Before me, the undersigned authority in and for said county and state personally appeared __________________ (.

Sample Affidavit Free Printable Documents

Sample Affidavit Free Printable Documents

Creating an affidavit may seem daunting, but our free template can simplify the process. Web depending on the type of affidavit form and the laws in the jurisdiction, an affidavit may need to be signed in front of certain. Before me, the undersigned authority in and for said county and state personally appeared __________________ (.

Before me, the undersigned authority in and for said county and state personally appeared __________________ (. Creating an affidavit may seem daunting, but our free template can simplify the process. Web depending on the type of affidavit form and the laws in the jurisdiction, an affidavit may need to be signed in front of certain.

Related Post: